| Property | Value | 
|---|---|
| Space group | (225, "'Fm-3m'") | 
| Magnetic | False | 
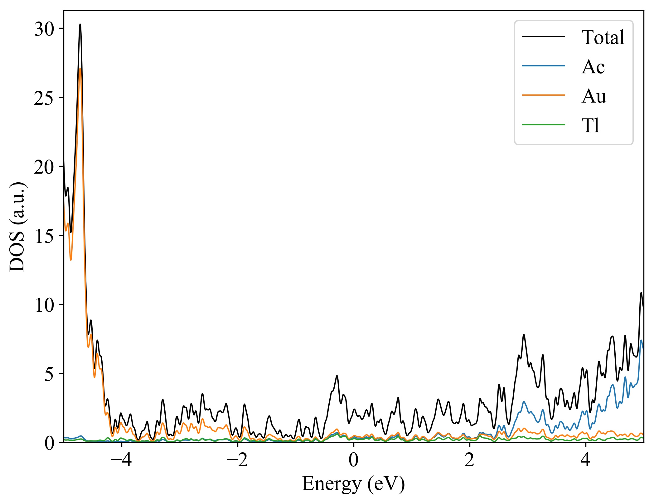
| Band gap (PBE) (eV) | 0 | 
| Total energy (eV) | -11.057 | 
| Total energy / atom (eV) | -2.764 | 
| a, b, c (Å): | 7.510 | 7.510 | 7.510 | 
| α, β, γ(°): | 90.0 | 90.0 | 90.0 | 
| a, b, c (Å): | 7.500 | 7.500 | 7.500 | 
| α, β, γ(°): | 90.0 | 90.0 | 90.0 | 
 
                | Property | Value | 
|---|---|
| Bulk-modulus | 57.647 GPa | 
| Property | Value | 
|---|---|
| Source | mp-865952-Ac1Au2Tl1 |