| Property | Value | 
|---|---|
| Space group | (221, "'Pm-3m'") | 
| Magnetic | True | 
| Magnetic moment (μB) | 3.00 | 
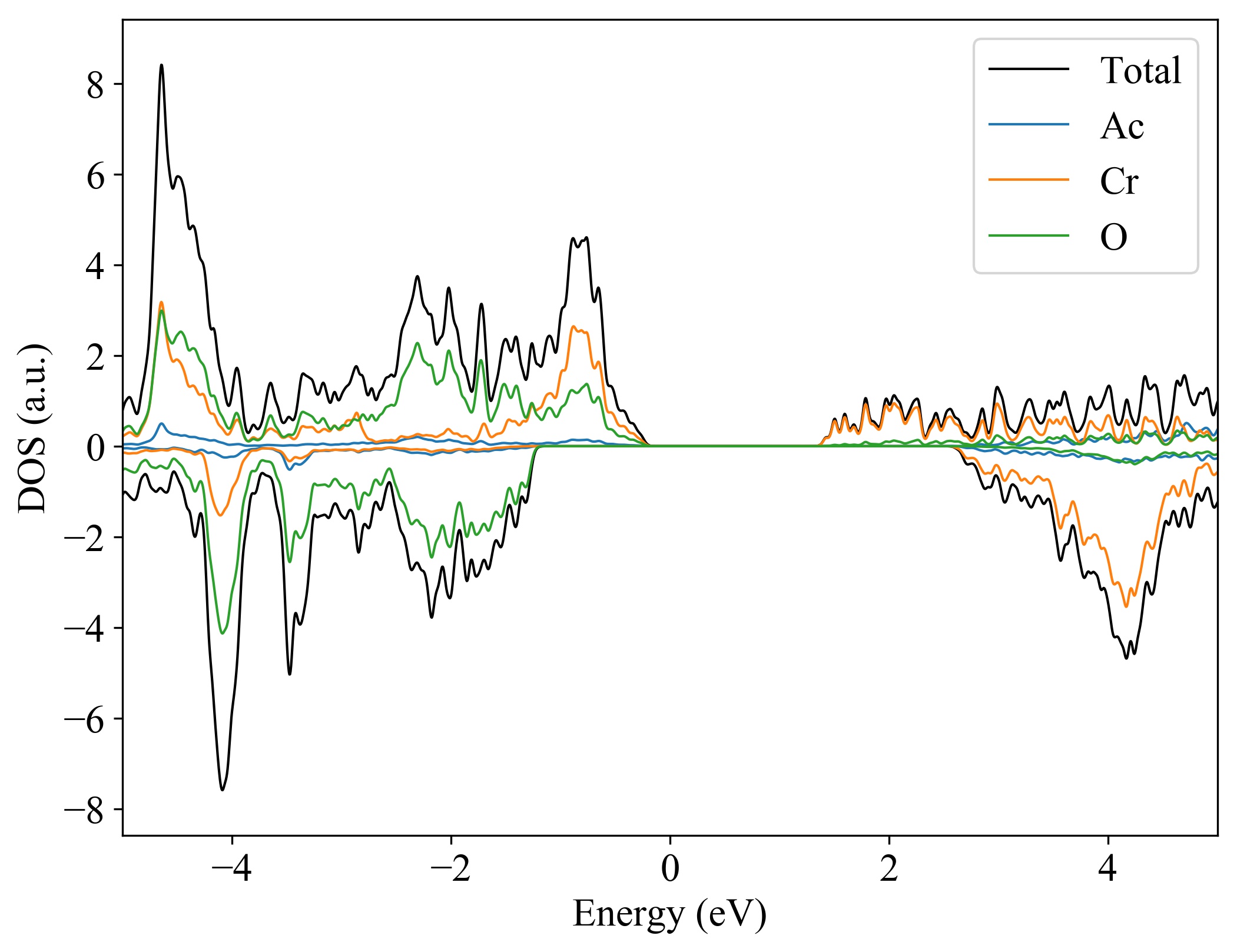
| Band gap (PBE) (eV) | 1.64 | 
| Total energy (eV) | -40.051 | 
| Total energy / atom (eV) | -8.010 | 
| a, b, c (Å): | 3.990 | 3.990 | 3.990 | 
| α, β, γ(°): | 90.0 | 90.0 | 90.0 | 
| a, b, c (Å): | 3.990 | 3.990 | 3.990 | 
| α, β, γ(°): | 90.0 | 90.0 | 90.0 | 
| n_type (eV): | -1.367 | 
| p_type (eV): | -1.358 | 
 
                | Property | Value | 
|---|---|
| Bulk-modulus | 172.552 GPa | 
 
                         
                         
                         
                         
                         
                        | Property | Value | 
|---|---|
| Source | mp-866647-Ac1Cr1O3 |