| Property | Value |
|---|---|
| Space group | (225, "'Fm-3m'") |
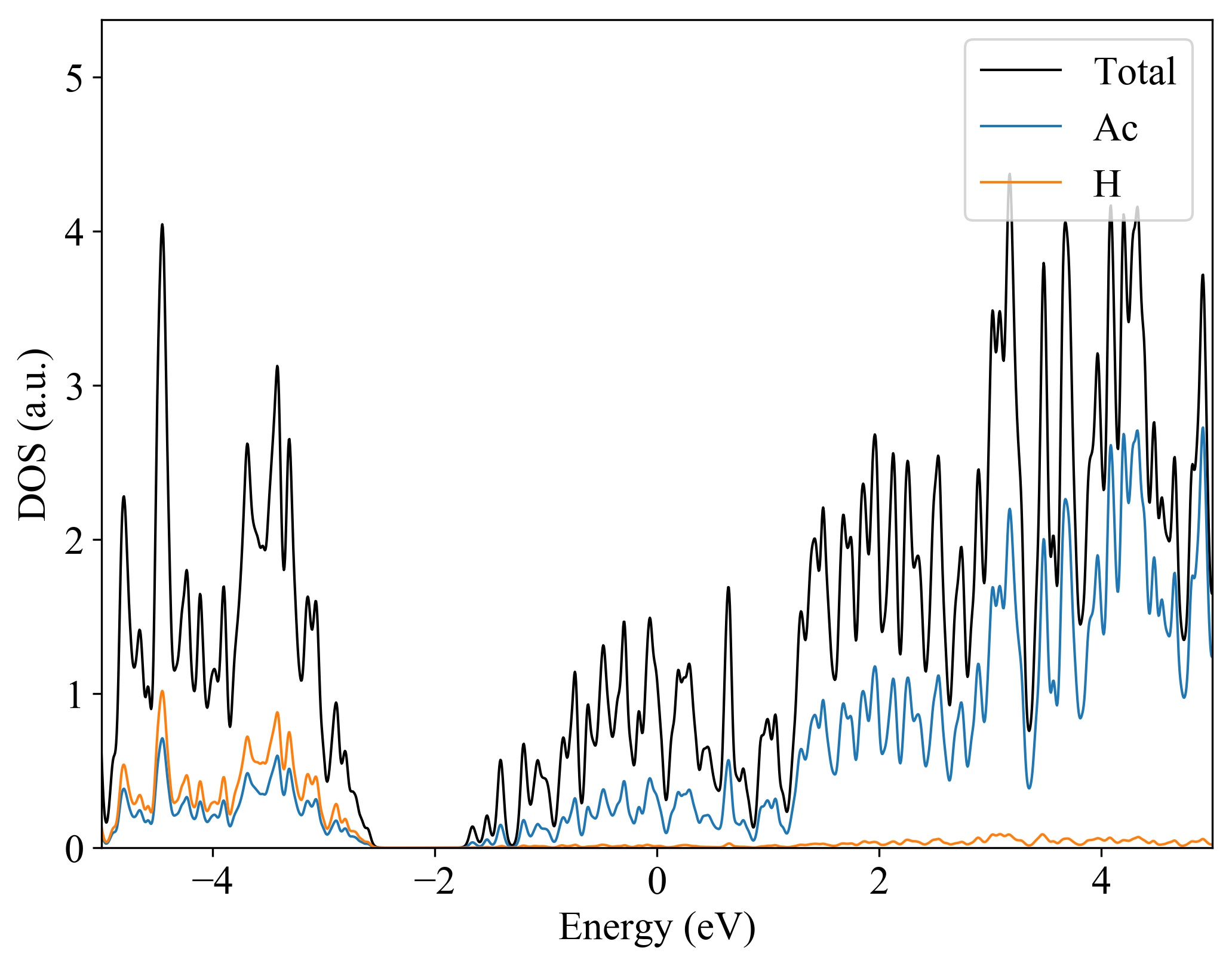
| Magnetic | False |
| Band gap (PBE) (eV) | 0 |
| Total energy (eV) | -12.533 |
| Total energy / atom (eV) | -4.178 |
| a, b, c (Å): | 5.670 | 5.670 | 5.670 |
| α, β, γ(°): | 90.0 | 90.0 | 90.0 |
| a, b, c (Å): | 5.910 | 5.910 | 5.910 |
| α, β, γ(°): | 90.0 | 90.0 | 90.0 |
| Property | Value |
|---|---|
| Source | icsd-56392-Ac1H2 |