Ac1Mg2Yb1

MatHub3d-52-Ac1Mg2Yb1

Property Value
Space group (225, "'Fm-3m'")
Magnetic False
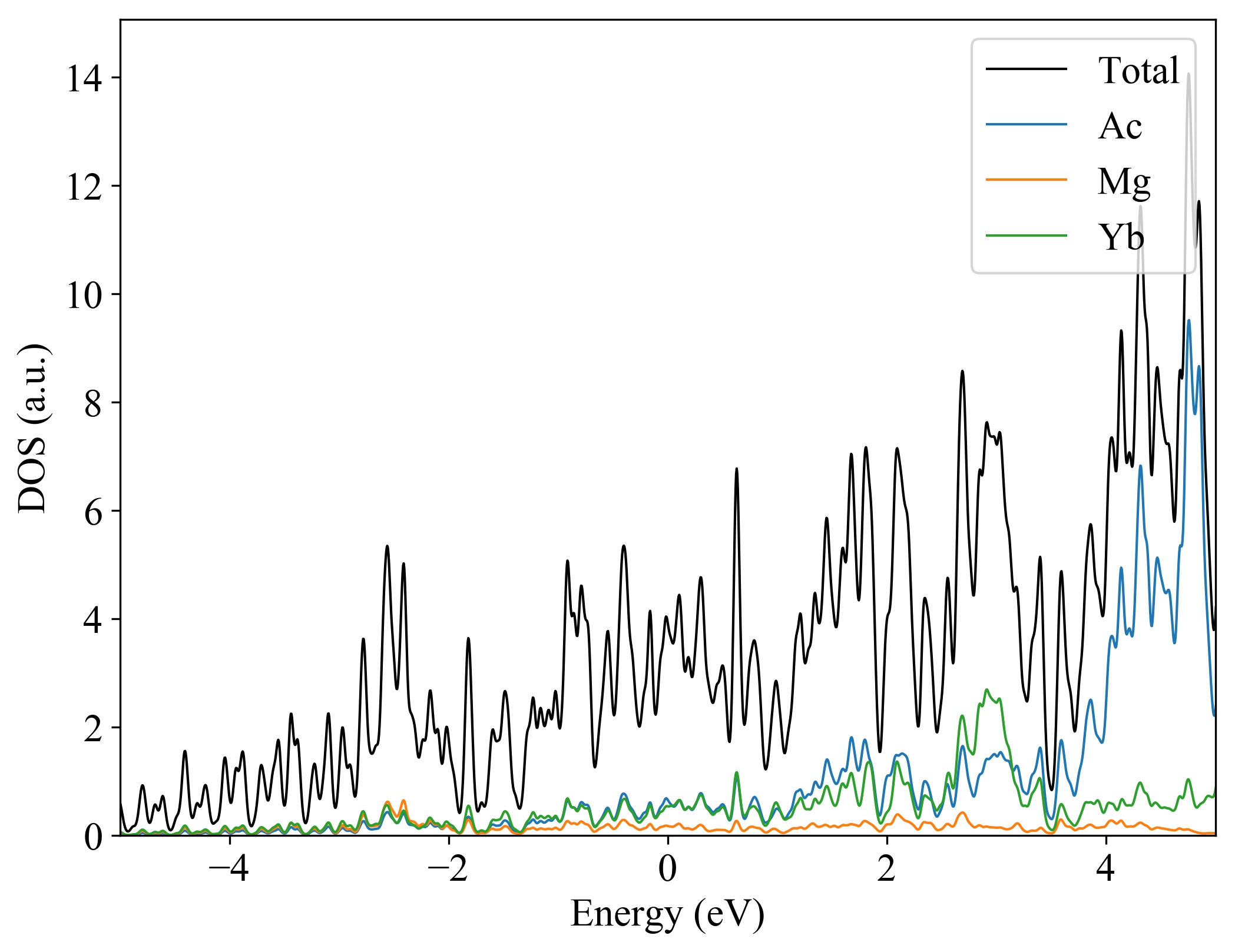
Band gap (PBE) (eV) 0
Total energy (eV) -8.828
Total energy / atom (eV) -2.207

Lattice Parameters(conventional cell, from the source)

a, b, c (Å): 8.090 8.090 8.090
α, β, γ(°): 90.0 90.0 90.0

Lattice Parameters(conventional cell, relaxed)

a, b, c (Å): 8.100 8.100 8.100
α, β, γ(°): 90.0 90.0 90.0






Ac1Mg2Yb1
  
Property Value
Band gap 0 eV
Property Value
Source mp-979950-Ac1Mg2Yb1