Ac1Na1Te2

MatHub3d-56-Ac1Na1Te2

Property Value
Space group (225, "'Fm-3m'")
Magnetic False
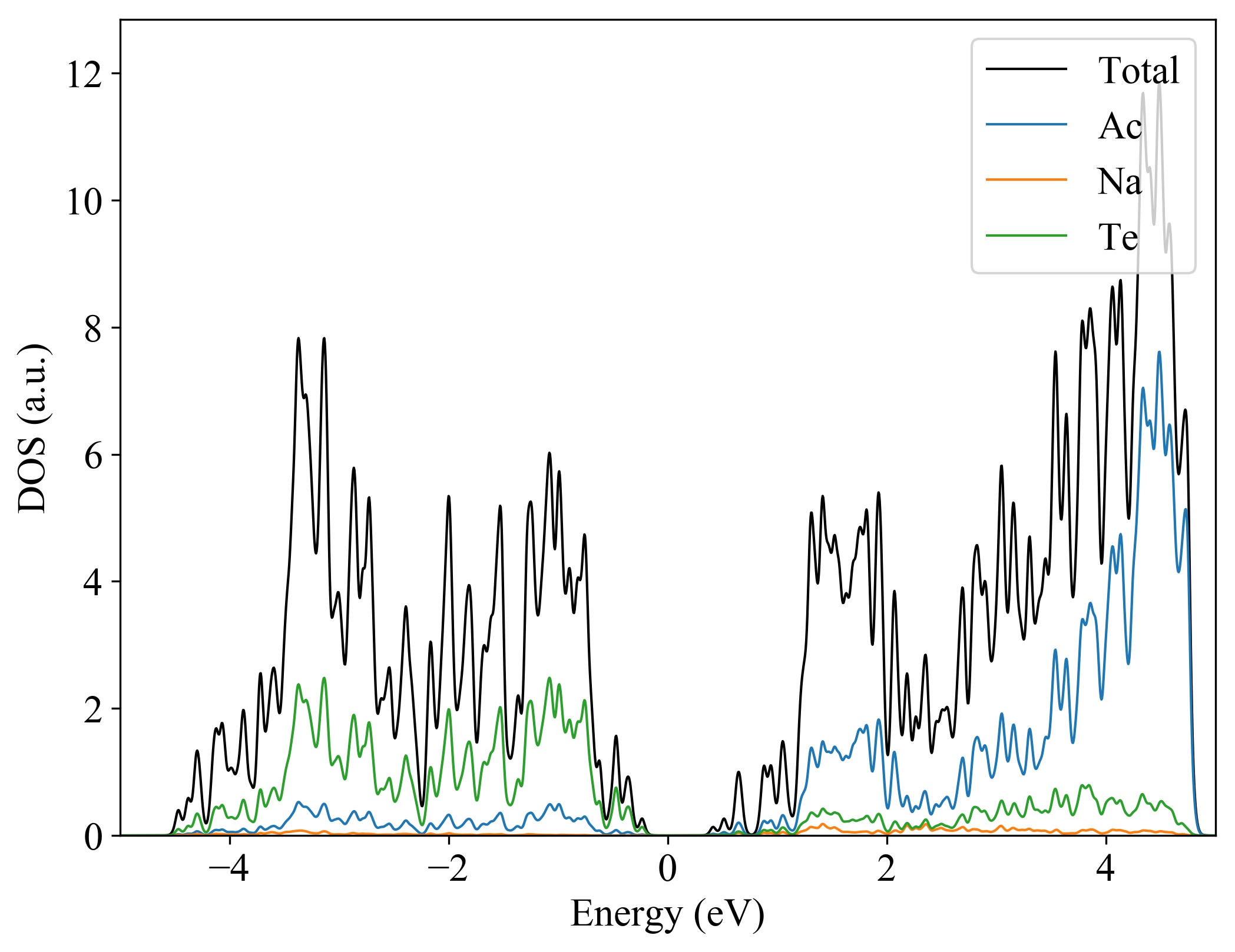
Band gap (PBE) (eV) 0.59
Total energy (eV) -16.713
Total energy / atom (eV) -4.178

Lattice Parameters(conventional cell, from the source)

a, b, c (Å): 8.040 8.040 8.040
α, β, γ(°): 90.0 90.0 90.0

Lattice Parameters(conventional cell, relaxed)

a, b, c (Å): 8.040 8.040 8.040
α, β, γ(°): 90.0 90.0 90.0

Deformation Potential

n_type (eV): 3.710
p_type (eV): 2.874
Ac1Na1Te2
.
Property Value
Bulk-modulus 39.951 GPa






Ac1Na1Te2
  
Property Value
Band gap 0.59 eV
Band degeneracy(CBM) 3.00
Band degeneracy(VBM) 3.00
n-type Seebeck coefficient (700K)



p-type Seebeck coefficient (700K)
n-type conductivity (700K)



p-type conductivity (700K)
n-type power factor (700K)



p-type power factor (700K)






Eband_VBM -3.52204
Eband_CBM -0.90801
Property Value
Source mp-865081-Ac1Na1Te2