Ac1O3Rb1

MatHub3d-58-Ac1O3Rb1

Property Value
Space group (221, "'Pm-3m'")
Magnetic True
Magnetic moment (μB) 0.07
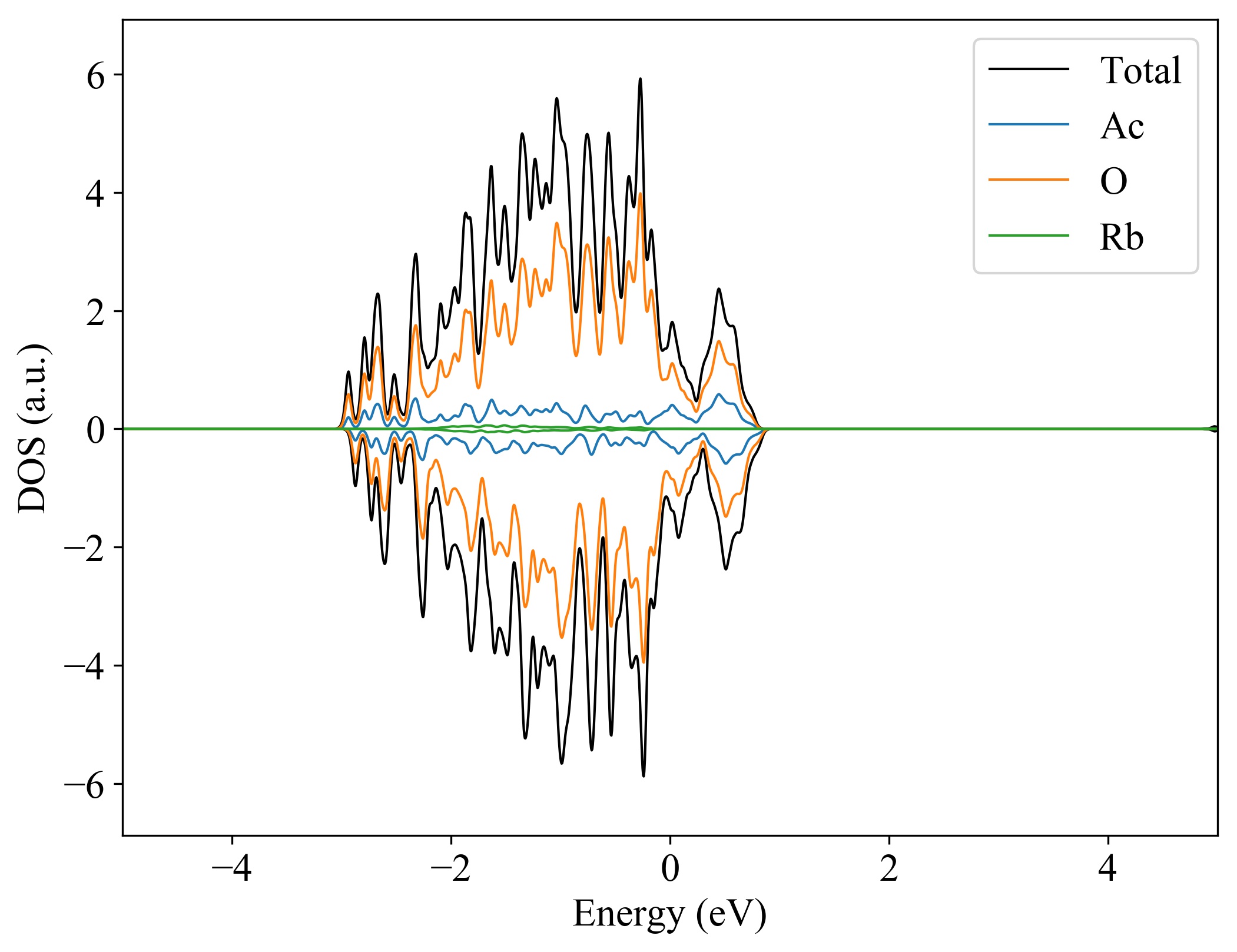
Band gap (PBE) (eV) 0
Total energy (eV) -28.871
Total energy / atom (eV) -5.774

Lattice Parameters(conventional cell, from the source)

a, b, c (Å): 4.640 4.640 4.640
α, β, γ(°): 90.0 90.0 90.0

Lattice Parameters(conventional cell, relaxed)

a, b, c (Å): 4.640 4.640 4.640
α, β, γ(°): 90.0 90.0 90.0






Ac1O3Rb1
  
Property Value
Band gap 0 eV
Property Value
Source mp-975463-Ac1O3Rb1