| Property | Value |
|---|---|
| Space group | (225, "'Fm-3m'") |
| Magnetic | False |
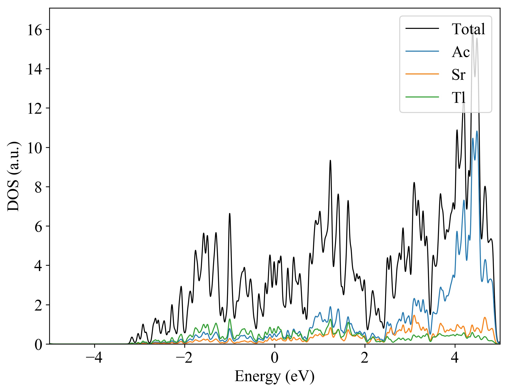
| Band gap (PBE) (eV) | 0 |
| Total energy (eV) | -11.722 |
| Total energy / atom (eV) | -2.930 |
| a, b, c (Å): | 8.260 | 8.260 | 8.260 |
| α, β, γ(°): | 90.0 | 90.0 | 90.0 |
| a, b, c (Å): | 8.260 | 8.260 | 8.260 |
| α, β, γ(°): | 90.0 | 90.0 | 90.0 |
| Property | Value |
|---|---|
| Bulk-modulus | 33.290 GPa |
| Property | Value |
|---|---|
| Source | mp-978953-Ac1Sr1Tl2 |