| Property | Value |
|---|---|
| Space group | (225, "'Fm-3m'") |
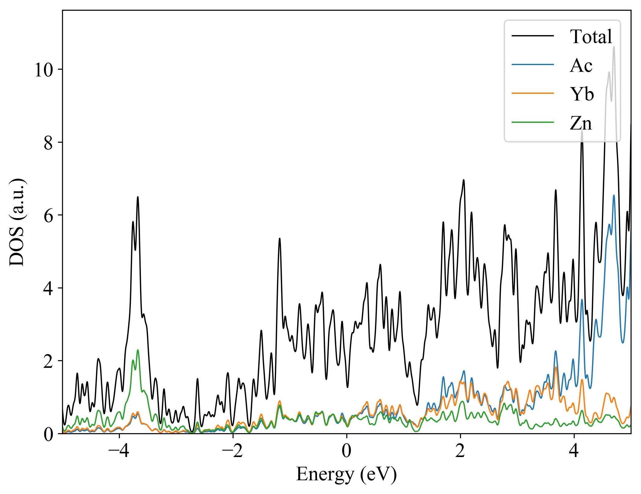
| Magnetic | False |
| Band gap (PBE) (eV) | 0 |
| Total energy (eV) | -7.222 |
| Total energy / atom (eV) | -1.806 |
| a, b, c (Å): | 7.580 | 7.580 | 7.580 |
| α, β, γ(°): | 90.0 | 90.0 | 90.0 |
| a, b, c (Å): | 7.580 | 7.580 | 7.580 |
| α, β, γ(°): | 90.0 | 90.0 | 90.0 |
| Property | Value |
|---|---|
| Source | mp-865953-Ac1Yb1Zn2 |