Ac2Cl2O2

MatHub3d-78-Ac2Cl2O2

Property Value
Space group (129, "'P4/nmm'")
Magnetic False
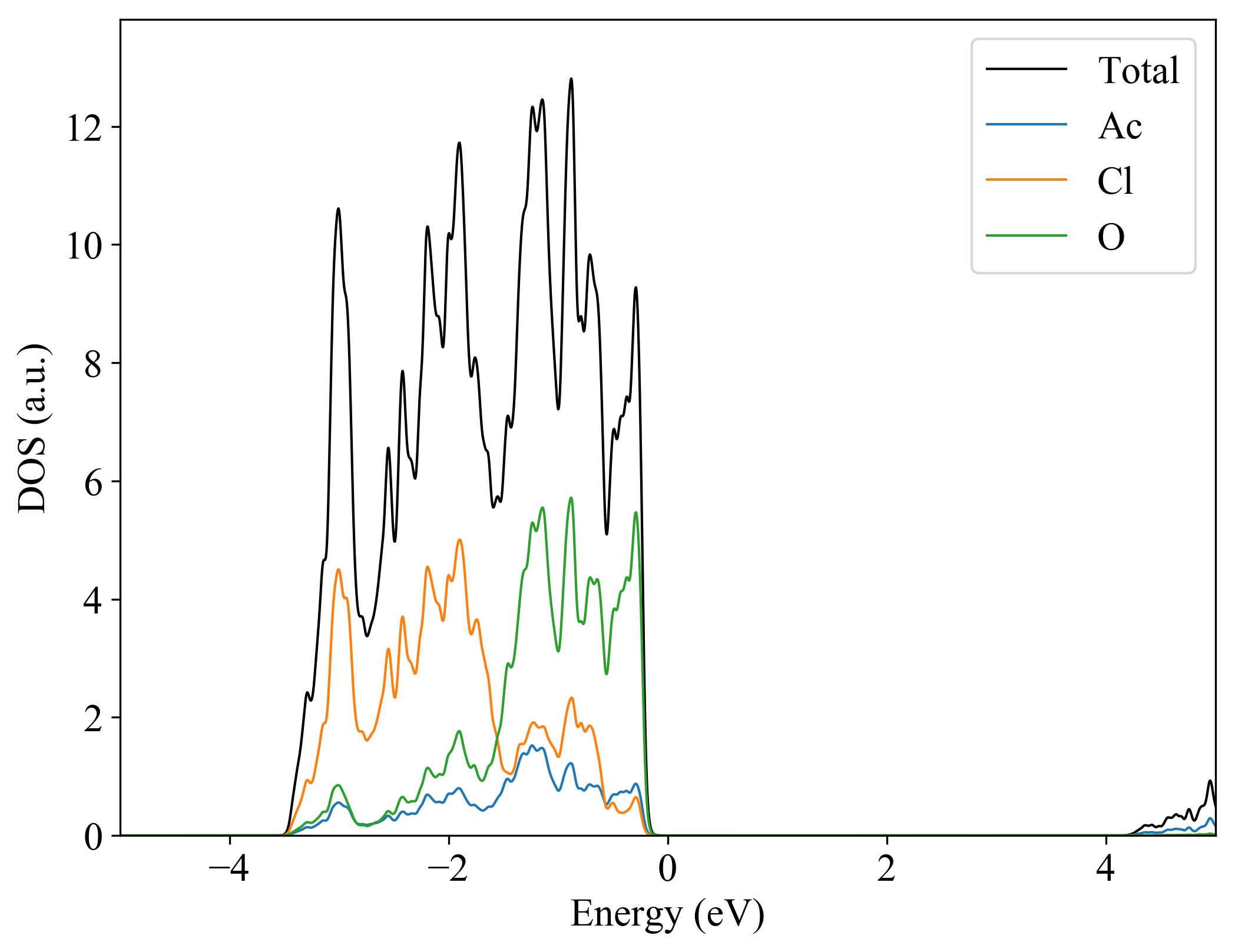
Band gap (PBE) (eV) 4.45
Total energy (eV) -40.652
Total energy / atom (eV) -6.775

Lattice Parameters(conventional cell, from the source)

a, b, c (Å): 4.250 4.250 7.080
α, β, γ(°): 90.0 90.0 90.0

Lattice Parameters(conventional cell, relaxed)

a, b, c (Å): 4.270 4.270 7.160
α, β, γ(°): 90.0 90.0 90.0

Deformation Potential

n_type (eV): 4.949
p_type (eV): 5.460
Ac2Cl2O2
.
Property Value
Bulk-modulus 83.217 GPa






Ac2Cl2O2
  
Property Value
Band gap 4.45 eV
Band degeneracy(CBM) 1.00
Band degeneracy(VBM) 4.00
n-type Seebeck coefficient (700K)



p-type Seebeck coefficient (700K)
n-type conductivity (700K)



p-type conductivity (700K)
n-type power factor (700K)



p-type power factor (700K)






Eband_VBM -12.24687
Eband_CBM -1.04106
Property Value
Source icsd-31659-Ac2Cl2O2