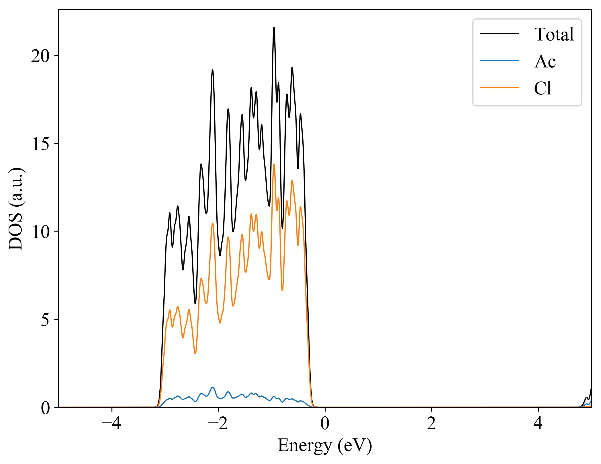
Ac2Cl6

MatHub3d-79-Ac2Cl6

Property Value
Space group (176, "'P6_3/m'")
Magnetic False
Band gap (PBE) (eV) 5.09
Total energy (eV) -39.077
Total energy / atom (eV) -4.885

Lattice Parameters(conventional cell, from the source)

a, b, c (Å): 7.750 7.750 4.570
α, β, γ(°): 90.0 90.0 120.0

Lattice Parameters(conventional cell, relaxed)

a, b, c (Å): 7.750 7.750 4.560
α, β, γ(°): 90.0 90.0 120.0

Deformation Potential

n_type (eV): 3.864
p_type (eV): 4.616
Ac2Cl6
.
Property Value
Bulk-modulus 46.664 GPa






Ac2Cl6
  
Property Value
Band gap 5.09 eV
Band degeneracy(CBM) 1.00
Band degeneracy(VBM) 3.00
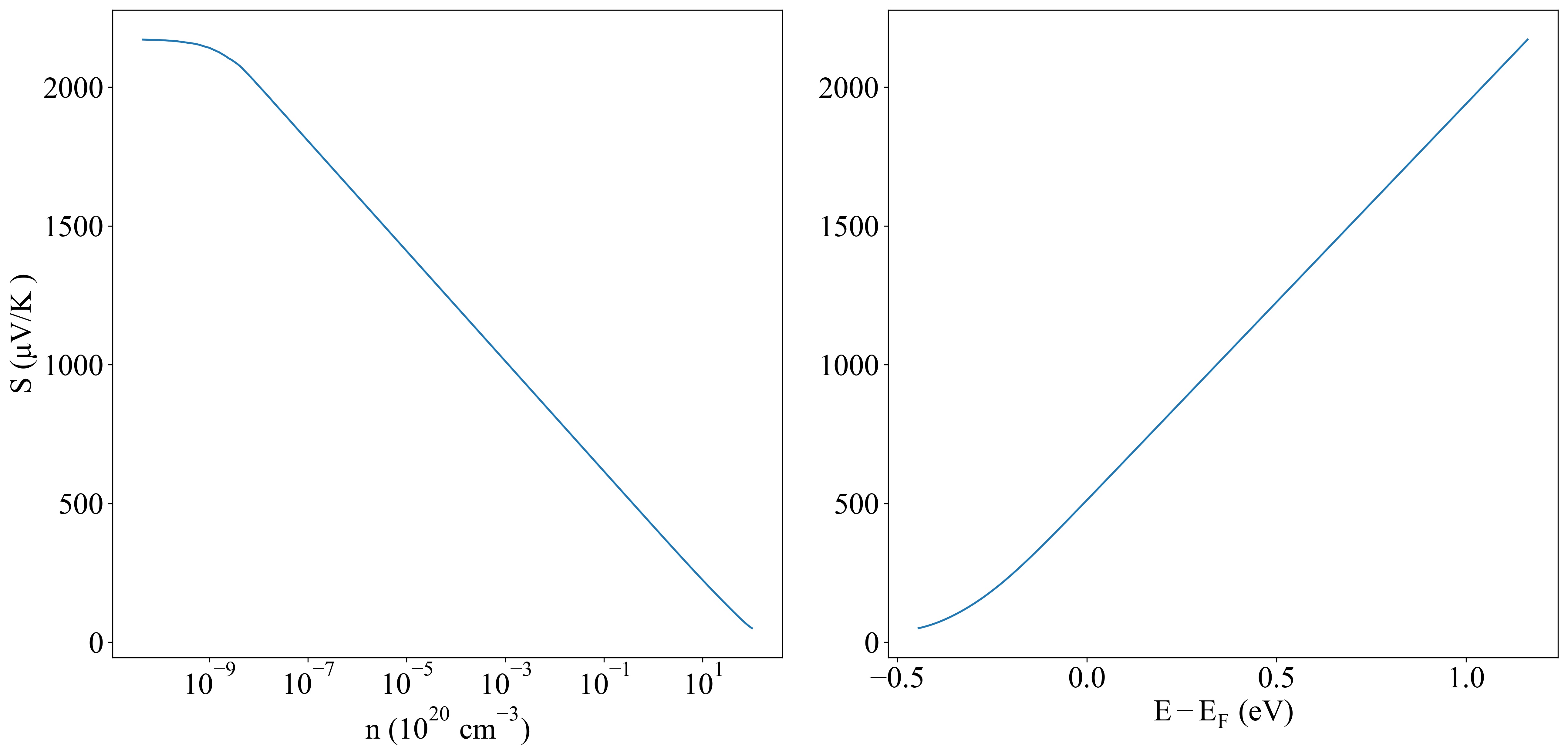
n-type Seebeck coefficient (700K)



p-type Seebeck coefficient (700K)
n-type conductivity (700K)



p-type conductivity (700K)
n-type power factor (700K)



p-type power factor (700K)






Eband_VBM -6.03141
Eband_CBM -5.59289
Property Value
Source mp-27971-Ac2Cl6