| Property | Value |
|---|---|
| Space group | (225, "'Fm-3m'") |
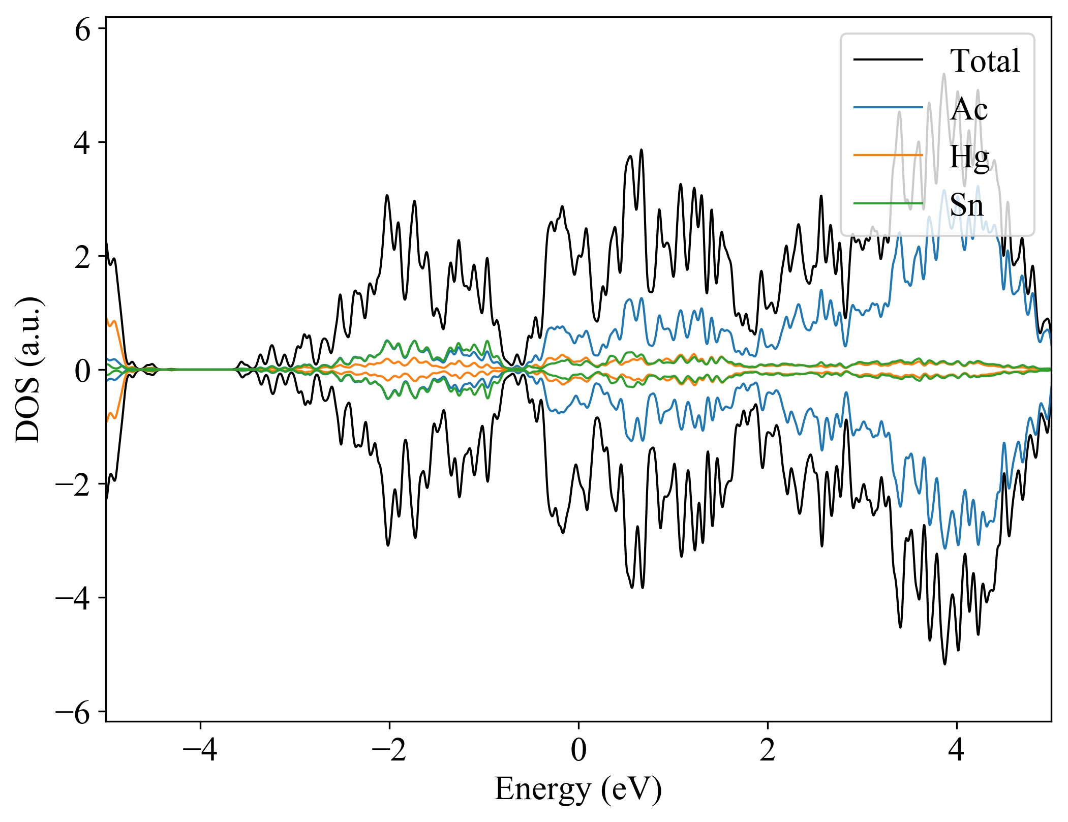
| Magnetic | True |
| Magnetic moment (μB) | 0.02 |
| Band gap (PBE) (eV) | 0 |
| Total energy (eV) | -14.335 |
| Total energy / atom (eV) | -3.584 |
| a, b, c (Å): | 8.160 | 8.160 | 8.160 |
| α, β, γ(°): | 90.0 | 90.0 | 90.0 |
| a, b, c (Å): | 8.140 | 8.140 | 8.140 |
| α, β, γ(°): | 90.0 | 90.0 | 90.0 |
| Property | Value |
|---|---|
| Source | mp-864795-Ac2Hg1Sn1 |