Ac2Hg6

MatHub3d-96-Ac2Hg6

Property Value
Space group (194, "'P6_3/mmc'")
Magnetic False
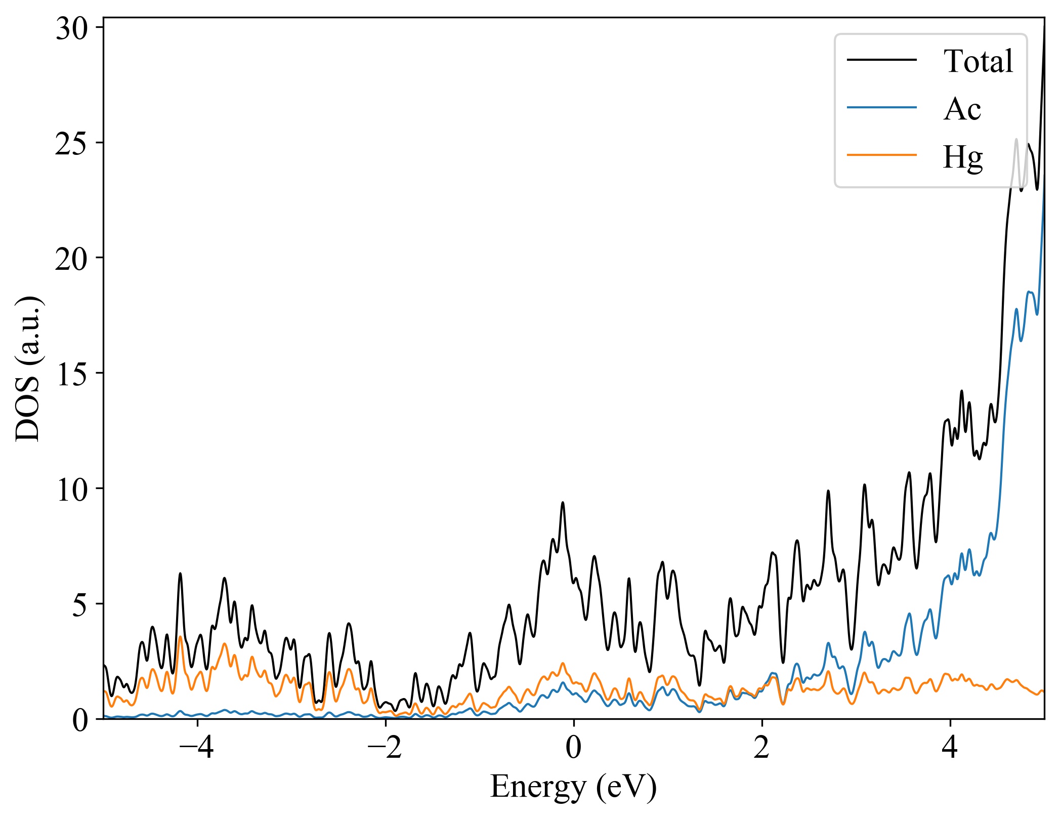
Band gap (PBE) (eV) 0
Total energy (eV) -12.566
Total energy / atom (eV) -1.571

Lattice Parameters(conventional cell, from the source)

a, b, c (Å): 7.140 7.140 5.210
α, β, γ(°): 90.0 90.0 120.0

Lattice Parameters(conventional cell, relaxed)

a, b, c (Å): 7.150 7.150 5.170
α, β, γ(°): 90.0 90.0 120.0






Ac2Hg6
  
Property Value
Band gap 0 eV
Property Value
Source mp-862289-Ac2Hg6