Ac2Mg1

MatHub3d-105-Ac2Mg1

Property Value
Space group (139, "'I4/mmm'")
Magnetic True
Magnetic moment (μB) 0.43
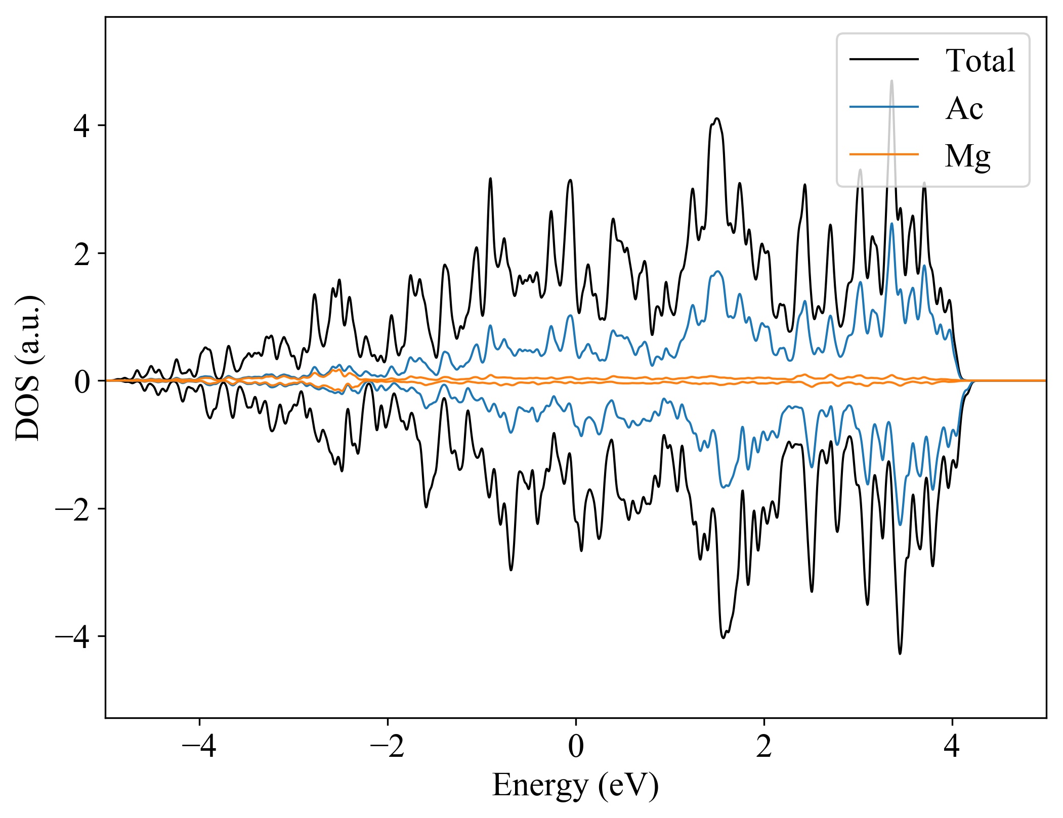
Band gap (PBE) (eV) 0
Total energy (eV) -9.743
Total energy / atom (eV) -3.248

Lattice Parameters(conventional cell, from the source)

a, b, c (Å): 4.100 4.100 13.760
α, β, γ(°): 90.0 90.0 90.0

Lattice Parameters(conventional cell, relaxed)

a, b, c (Å): 4.160 4.160 13.340
α, β, γ(°): 90.0 90.0 90.0






Ac2Mg1
  
Property Value
Band gap 0 eV
Property Value
Source mp-985286-Ac2Mg1