Ac3Rb1

MatHub3d-117-Ac3Rb1

Property Value
Space group (221, "'Pm-3m'")
Magnetic False
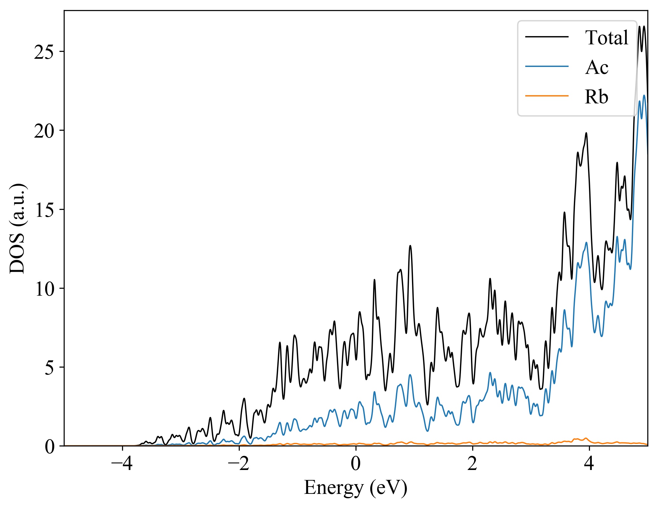
Band gap (PBE) (eV) 0
Total energy (eV) -11.626
Total energy / atom (eV) -2.906

Lattice Parameters(conventional cell, from the source)

a, b, c (Å): 5.810 5.810 5.810
α, β, γ(°): 90.0 90.0 90.0

Lattice Parameters(conventional cell, relaxed)

a, b, c (Å): 5.820 5.820 5.820
α, β, γ(°): 90.0 90.0 90.0






Ac3Rb1
  
Property Value
Band gap 0 eV
Property Value
Source mp-975468-Ac3Rb1