Ac6Er2

MatHub3d-123-Ac6Er2

Property Value
Space group (194, "'P6_3/mmc'")
Magnetic True
Magnetic moment (μB) 0.03
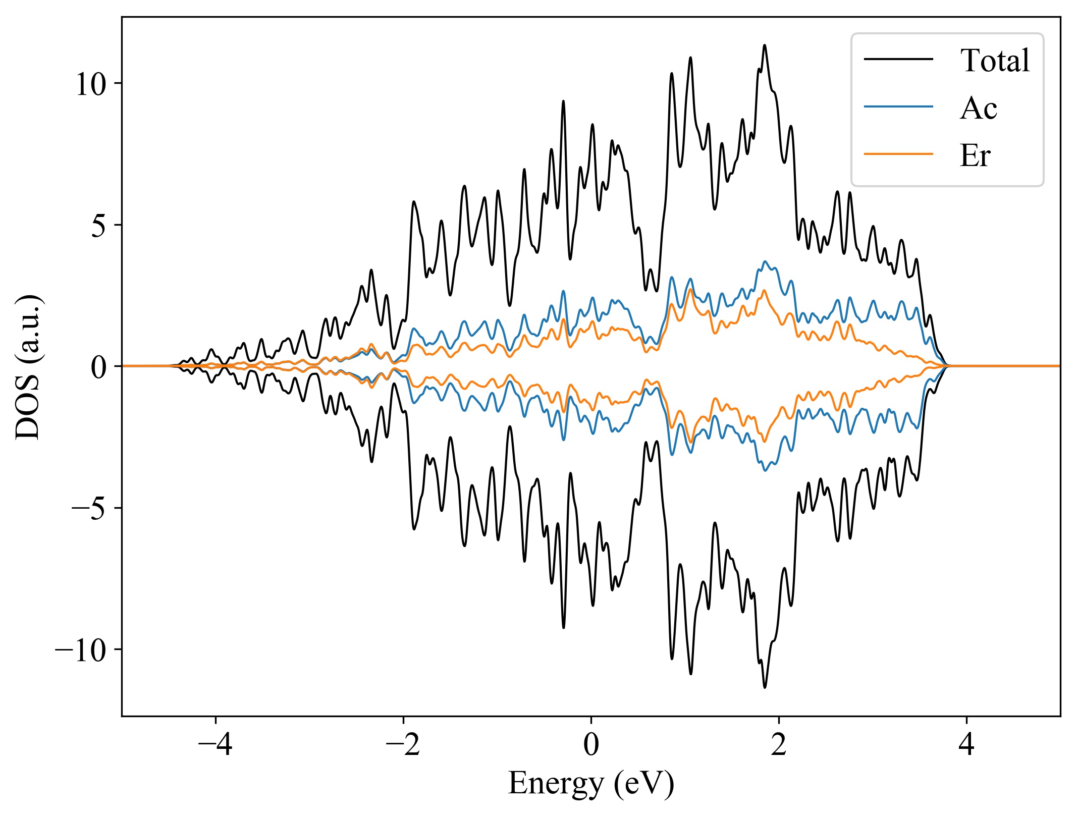
Band gap (PBE) (eV) 0
Total energy (eV) -32.911
Total energy / atom (eV) -4.114

Lattice Parameters(conventional cell, from the source)

a, b, c (Å): 7.810 7.810 6.260
α, β, γ(°): 90.0 90.0 120.0

Lattice Parameters(conventional cell, relaxed)

a, b, c (Å): 7.870 7.870 6.230
α, β, γ(°): 90.0 90.0 120.0






Ac6Er2
  
Property Value
Band gap 0 eV
Property Value
Source mp-985294-Ac6Er2