Ac6La2

MatHub3d-126-Ac6La2

Property Value
Space group (194, "'P6_3/mmc'")
Magnetic True
Magnetic moment (μB) 0.08
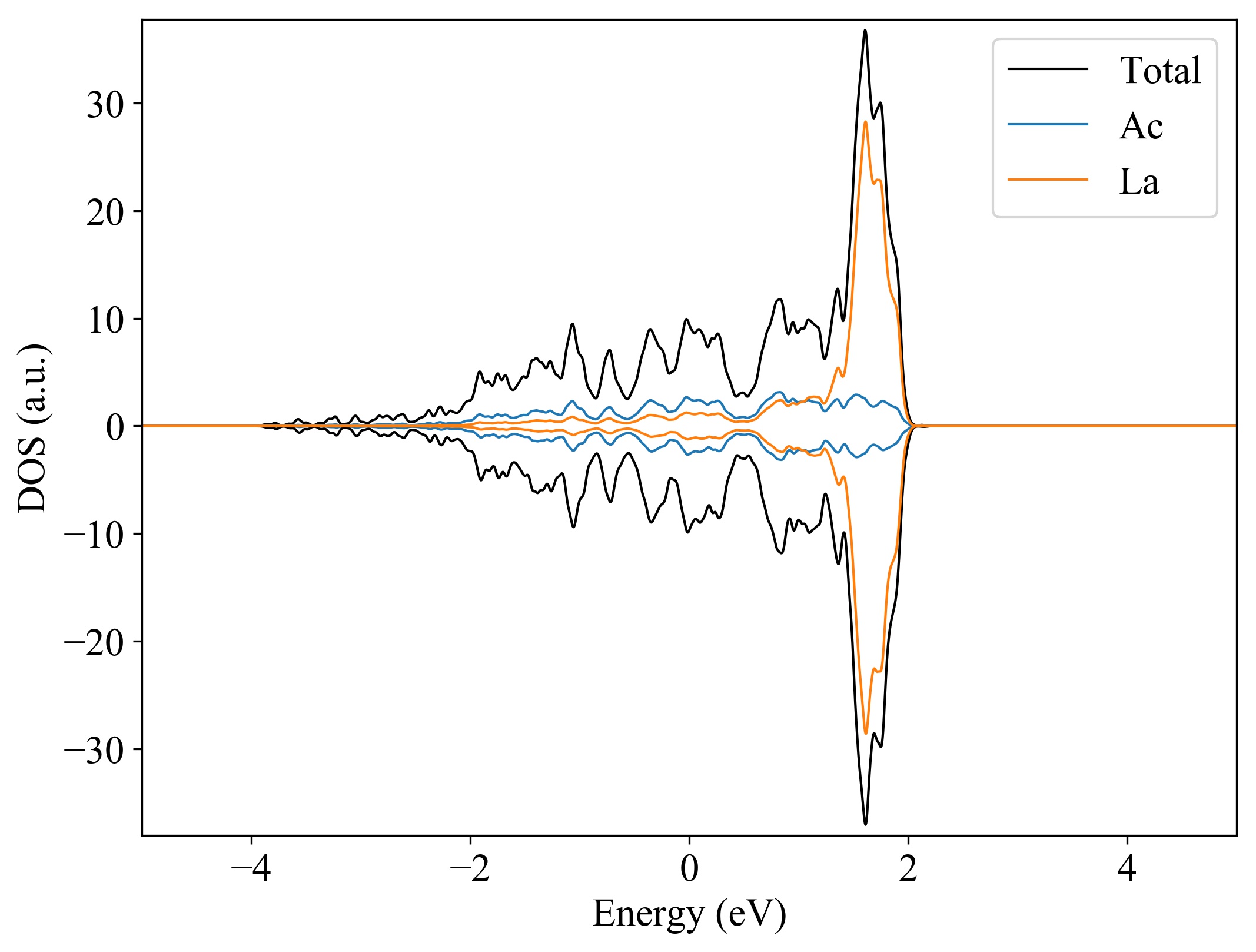
Band gap (PBE) (eV) 0
Total energy (eV) -33.898
Total energy / atom (eV) -4.237

Lattice Parameters(conventional cell, from the source)

a, b, c (Å): 7.920 7.920 6.390
α, β, γ(°): 90.0 90.0 120.0

Lattice Parameters(conventional cell, relaxed)

a, b, c (Å): 7.980 7.980 6.370
α, β, γ(°): 90.0 90.0 120.0






Ac6La2
  
Property Value
Band gap 0 eV
Property Value
Source mp-985540-Ac6La2